OpenAI新研究团队,刚刚曝光了——
OpenAI for Science,致力于构建加速数学和物理领域新发现的人工智能系统。
黑洞物理学家、物理学新视野奖获得者Alex Lupsasca官宣加盟,并且透露:
作为理论物理学家,我曾认为人工智能要触及研究前沿,还需要很长时间。然而,GPT-5 Pro的出现彻底改变了我的看法。

他发现,只需要30分钟,GPT-5 Pro就能解决他当时花了数天时间才计算得到的“黑洞微扰理论中新对称性”的精确形式这些以及许多其他例子让我相信:人工智能将彻底改变科学研究。
GPT-5 Pro 30分钟解决人类几天的难题
GPT-5 Pro具体是如何促使Alex Lupsasca(以下简称老卢)加入OpenAI的?
一切要从这位物理学家把自己的研究课题抛给GPT-5 Pro说起。

今年夏天,他发表了一篇关于黑洞微扰理论中新对称性的论文,揭示黑洞没有潮汐形变的能力,即勒夫数(Love Number)为零。
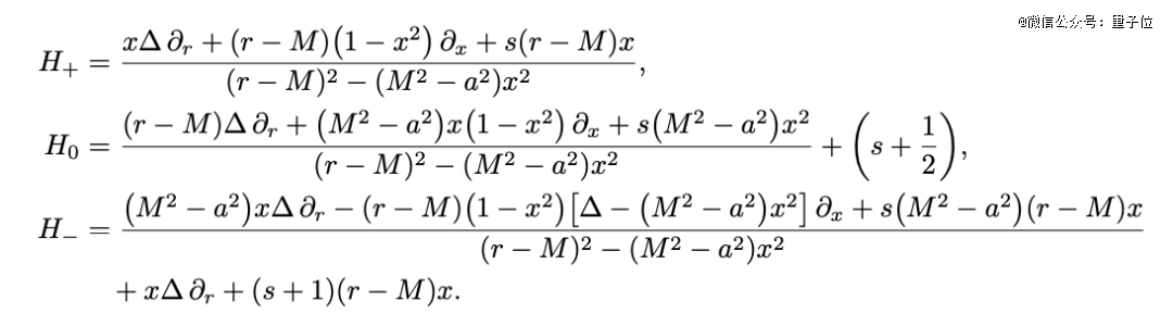
解释这些对称性的物理意义,对于老卢而言相对简单,困难之处在于找到它们的精确形式。
作为人类科学家,他最终花了数天时间,才终于计算得到了这样的公式:

GPT-5 Pro发布后,老卢很好奇,同样的问题让AI来解,它是否能搞定?
结果令他大吃一惊:GPT-5 Pro不到30分钟就重新发现了这个结果!
△老卢分享的GPT-5 Pro推理结果
老卢简直不敢相信,接着追问GPT-5 Pro具体是怎么想的,是否是上网搜索到了他本人的论文。

GPT-5 Pro否认了,“我是推导出来的”,并接着甩出了自己的思考大纲。
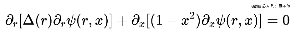
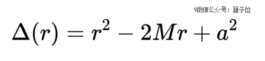
简单来说,为了找出这个偏微分方程的李对称性:


GPT-5 Pro的思路是:先换坐标,把原方程变换到轴对称拉普拉斯上,利用其现成对称性,然后再把这些对称性按链式法则和雅克比矩阵推回到原来的变量里。
*步,选个好坐标把主部“拉平”;
第二步,考虑到原方程是散度形式,在换坐标时要乘以雅克比矩阵。
第三步,套用“标准模板”的对称性:轴对称拉普拉斯的点对称性是教科书级别的。
最后,把这些对称性“拉回”到原变量(r,x)。
尽管在处理这个问题之前,需要先用平坦空间案例对GPT-5 Pro进行训练,但在老卢看来,这点瑕不掩瑜,“其飞跃是惊人的”。
除此之外,老卢还发现,GPT-5 Pro能解决观测天体物理学中的难题——这些问题对于一个优秀的人类研究生而言,可能也要花几天的时间才能搞定。
问题是:
我刚刚观测到一个快速毫米波爆发。它的峰值通量密度约为100 mJy。它在毫秒级迅速上升,随后是短暂的平台期,然后急剧下降。有初步证据表明同时存在光学爆发和可能的X射线活动。尚未识别出相关的宿主星系。你能否就此信号的起源提出最合理的理论解释(或多个解释),建议*的后续观测,以及对与此类活动相关的未识别源群体的潜在影响?请同时为这项发现撰写一份将在《自然》杂志上发表的摘要。
用时10分钟18秒,GPT-5 Pro给出了可能的理论解释,提供了后续观测建议,同时也把论文摘要写完了。
看到了这些,老卢开始相信“人工智能将彻底改变科学研究”,这也促使他选择加入OpenAI for Science,在一线亲身见证边界被一步步拓宽。
黑洞探测器项目负责人
回到老卢本身,他目前也是范德堡大学物理与天文系的助理教授,在数学系亦有兼职。
他分别在2011年和2017年获得了哈佛大学的学士和博士学位。博士毕业后,他先是在哈佛大学工作了3年,担任初级研究员。2020年加入普林斯顿大学。2022年获得范德堡大学教职。
加入OpenAI前,老卢最重要的工作是“黑洞探测器(BHEX)”项目。
这个项目旨在将一颗卫星送入地球轨道,以拍摄天文史上最清晰的黑洞图像:深入探测黑洞的事件视界,并测量围绕其运行的“光子环”。
也就是说,BHEX是此前拍摄了首张黑洞照片的EHT(事件视界望远镜)的继任者,有望推动黑洞研究进入高精度时代。
该任务计划于2032年发射。
2024年,老卢还和Michael Johnson共同获得了物理学新视野奖,这个奖项由“突破奖基金会”颁出,旨在表彰在物理学领域做出*贡献的青年职业科学家。
因其在黑洞成像方面的工作,老卢还获得了国际广义相对论与引力学会颁发的2024年IUPAP广义相对论与引力青年职业科学家奖。
【本文由投资界合作伙伴微信公众号:量子位授权发布,本平台仅提供信息存储服务。】如有任何疑问,请联系(editor@zero2ipo.com.cn)投资界处理。
旗下微信矩阵:














